Cosmologie matière grise structure cosmique astrophysique

En résumé (grâce à un LLM libre auto-hébergé)

  • Le texte évoque un colloque d'astrophysique en 2001 où l'auteur critique les théories sur la matière grise et la structure à grande échelle de l'univers.
  • L'auteur mentionne des simulations numériques et des observations qui ne correspondent pas toujours aux théories, soulignant un écart entre théorie et réalité.
  • Il raconte son expérience à un colloque international, où ses questions ont été ignorées, illustrant un manque de dialogue dans la communauté scientifique.

Cosmologie matière grise structure cosmique astrophysique

Je me suis ennuyé au colloque d'astrophysique de Marseille

(juin 2001)

Recherche matière grise, désespérément.

Les scientifiques sont très contents des observations qui ont pu être réalisées dans la gamme des rayons X à l'aide des télescopes XMM et Chandra. Ci-après, une image d'artiste du téléscope XMM à rayons X :

Je fais ici réference à un article déjà ancien, datant de janvier 2001 et paru dans la revue Ciel et Espace, sous la plume d'Azar Khalatbari. En voici quelques extraits :

Page 25 : "Entre les amas de galaxies, la matière se concentre, pour former des structures longilignes, des filaments. Tout ce beau monde reste lié, chacun à son échelle, par la force de gravitation. Pendant longtemps les cosmologistes se sont demandés comment l'organisation de la matière avait évolué pour aboutir aux filaments et si ces structures actuellement visibles avaient existé dans le passé"

Je me le demande aussi, car cette structure, en tout cas au plan des observations, n'existe que dans l'imaginaire de Monsieur Khalatbari. Quelques lignes plus loin, celui-ci écrit :

  • En l'absence d'observations sur la prime enfance de l'Univers les cosmologistes ont usé de leur matière grise (...) et de leurs processeurs pour élaborer des simulations numériques. Résultat : si, en des temps reculés, la matière formait de minuscules grumeaux (en jargon d'astronome, si l'Univers connaissait des fluctuations de densité) ces fluctuations primordiales n'ont pu que s'amplifier avec le temps, sous l'effet de la gravitation. Les résultat est le tableau actuel. *

De quel tableau parle-t-il, ce brave garçon ? L'article reste muet sur ce sujet. Je suis allé en juin 2001 à un colloque international d'astrophysique et d'astronomie, qui s'est tenu à Marseille. Le thème général était "Where is the matter ?" (Où est la matière ?). Dans ce genre de rencontre on confie à des gens le soin de faire des "surveys", de "revues de question" sur différents sujets. Je me souviens qu'un italien dont j'ai oublié le nom avait été chargé de faire le point sur ce qu'on pouvait savoir sur la VLS, la "very large structure", la structure à grande échelle de l'Univers. Ma foi, maintenant les gens ont des télescopes de plus en plus puissants. Huit mètres de diamètre, c'est quasiment un standard, de nos jours. Ajoutez les vertus de l'optique adaptative, de l'astronomie spatiale, et tout le tremblement. Bref, les observations se font de plus en plus précises. Cet italien nous a donc montré des coupes du cosmos, s'étendant jusqu'à des distances de plusieurs centaines de millions d'années-lumière. Ma fois, ma mémoire ne vacille pas encore. J'ai vu des tas d'images montrant que cette structure lacunaire du cosmos, à grande échelle, découverte au début des années soixante-dix, semblait décidément se confirmer. De quelque côté que l'on se tourne, sous n'importe quel angle, quelle que soit la façon dont on découpe l'univers en tranches, on retrouve cette même structure en "bulles jointives". Puis le chairman a présenté des résultats de simulations arachénéennes :

VLS filaments

Je suis resté, j'avoue, naïvement perplexe. Comme un homme brandissait un micro en demandant si quelqu'un n'avait pas une question à poser à l'orateur, j'ai levé la main. On m'a passé le micro et devant cette assemblée de quelques deux cent congressistes issus de différents pays j'ai demandé si le fait que ces simulations sur ordinateur et les belles images de cosmos lacunaire que nous venions de voir un quart d'heure avant ne semblaient pas avoir de rapport évident posait problème.

Il y a eu alors vingt à trente secondes de silence. Un silence total, épais, à couper au couteau. J'ai regardé de tous côtés, j'ai tendu l'oreille : rien. Après cette demi-minute de mutisme complet, je n'avais plus qu'à me rasseoir. Avais-je été "hors sujet" ? Probable. L'époque où les "résultats théoriques" étaient censés devoir coller avec les observations est peut-être une époque révolue.

Tout cela rappelle les mésaventures de Galilée. Quand il a eu en main sa célèbre lunette, il a découvert que certaines étoiles étaient en fait des systèmes doubles. Comme ses contemporains étaient sceptiques, il les a incités à regarder dans l'objectif de son instrument, ce qu'ils ont fait. Croyez-vous que cela a changé quelque chose ? Que nenni. Ces gens lui ont dit que ça n'était parce que ces étoiles apparaîssaient doubles dans son intrument, directement issu des forges du diable, qu'elles pouvaient l'être réellement. Il semble en être de même en ce moment avec l'astronomie. Vous savez peut être que depuis trente ans on n'a jamais été fichu d'expliquer cette structure lacunaire du cosmos. La "théorie des crèpes", de Zel'dovitch, a fait long feu. En fait dès qu'on essayait de fabriquer des "plaques" de matière, l'échauffement dissipait ces structures, très vite. Ah, au passage, je ne vous avais pas dit avec quoi nos théoriciens simulateurs avaient fabriqué leur structure filamenteuse. Avec de la CDM (cold dark matter, ou "matière sombre froide"). En fait, tout à l'heure, je ne vous ai pas raconté l'ensemble de l'histoire. Je ne sais pas pourquoi j'ai occulté ce fragment de cette affaire. Pour tout vous dire, au moment où l'italien allait faire son exposé, je m'étais placé au deuxième rang, juste à côté du projecteur de transparents. Après avoir posé cette question sur ce gap prononcé qui semblait séparer "théorie" et "observations" et récolté vingt bonnes secondes de silence, j'ai ajouté :

  • En 93, on avait obtenu cette structure lacunaire, par simulation, en partant d'un modèle gémellaire.

et j'ai posé le transparent ci-après sur l'appareil.

VLS JPP

Tout le monde a donc pu voir cette image, voir aussi que, du coup, cela ressemblait pas mal aux images montrées précédemment, se référant à des observations. Mais personne n'a pipé mot et je me suis retrouvé comme un imbécile, debout, à côté du projecteur. Tout le monde attendait visiblement que j'enlève cette planche, non prévue dans le programme, et que je me rassoit. C'est ce que j'ai fini par faire. Bide complet....

Cette image a été publiée en 95 dans Astrophysics and Space Science et faisait aussi partie de ma communication à ce colloque (je n'avais eu droit qu'à un "poster", que personne n'a regardé). Accessoirement elle a été également reproduite dans mon livre "On a perdu la moitié de l'univers" (Albin Michel 1997 et Hachette 2000, en poche).** **

En venant à ce colloque (le premier auquel il m'était donné de participer depuis 17 ans, puisque depuis 83 je ne touche pas un liard du CNRS comme crédits de mission ou crédits tout court) je me demandais s'il y aurait un dialogue. Ma femme m'avait dit "fais donc des photocopies de ton papier et pose les sur les tables, avant l'ouverture de la session de mardi". C'est ce que j'ai fait. J'ai fait 70 photocopies de la "version longue" de mon papier (64 pages) et, avant la tenue de la première séance de mardi, à 9 heures, j'ai disposé tous ces exemplaires sur les tables. Tout a été enlevé. Je n'ai retrouvé aucun exemplaire dans les corbeilles à papier du colloque, ou traînant sous une table. A la fin de ce document il y avait mes coordonnées, mon e-mail.

Six mois plus tard : rien. Silence total. Même pas une petite question, l'ombre d'une curiosité.....

On dirait une nouvelle de SF : un scientifique devient soudain transparent, sans en prendre conscience, il bascule dans une univers parallèle. Pourtant pendant ce colloque j'ai été très bien, poli et tout. Bien habillé, discret. J'ai seulement posé quatre ou cinq questions qui ont toutes débouché sur des bides complets. Celle concernant la structure à grande échelle en est une. Mais je retombe sur ce vieux numéro de Ciel et Espace et sur ce papier de ce Khalatbari. En relisant ces lignes, j'ai l'impression d'être dans une sorte de rêve. L'astrophysique a pris une tournure franchement onirique depuis pas mal d'années. Dans ce même colloque j'ai eu l'occasion de faire la connaissance de Meillier qui, avec Fort, a dressé la première carte de "l'Univers invisible" en déduisant cette structure d'un décodage des effets de lentille gravitationnelle. Ca n'est pas si compliqué que cela à imaginer. Pensez à une toile cirée représentant des pois blancs sur fond rouge (ou noir, puisqu'il s'agit du cosmos). Si vous posez des gouttes d'eau sur cette toile cirée, celles-ci vont induire des déformations des images des pois blancs. Si on vous présentait une photo de cette nappe prise à la verticale vous pourriez imaginer que, ne percevant pas directement la présence de cette eau, transparente, sur cette nappe, vous pourriez reconstituer sa présence, en cartographier la distribution en partant de la déformation des images des pois. En gros, c'est ce qu'on fait Fort et Meillier. Ils ont "cartographié l'invisible", le "non-observé" en se fondant sur les effets de lentille gravitationnelle faibles (weak gravitational lensing). Le monde, en 1999, avait publié une magnifique reproduction en couleur de ce résultat.

dark3dshort

Mais déjà, à l'époque, il y avait quelques "points d'ombre" (pour détails, voir ma communication au colloquede juin 2001), et le mot est assez bien choisi. En effet cette méthode de cartographie leur faisait situer en un ou deux endroits des concentrations de matière atteignant au bas mot la masse de mille galaxies, c'est à dire celle des plus importants amas de galaxies connus (Coma, la Vierge). Or, à ces endroits-là : rien dans le visible, ni l'infra-rouge, ni l'ultra-violet, ni même dans la gamme de X. Meillier nous l'a confirmé à ce colloque de juin 2001. Il avait même, les mois précédent, trouvé un troisième "amas obscur" de cette sorte. Comme il venait de nous vanter la fiabilité de sa méthode de cartographie, je lui ai demandé comment il expliquait alors la présence de ces "trois amas obscurs", aussi importants. Savez-vous quelle a été sa réponse ?

- Ces amas obscurs ? Je vais vous dire ce que j'en pense : personnellement, je n'y crois pas !

Je n'ai pas pu en savoir plus. Ce faisant, il mettait en cause ses propres travaux, mais cela avait l'air de laisser l'assistance de marbre. Là j'ai commencé à m'ennuyer. Pendant ce colloque je me suis franchement embêté, j'avoue. J'ai du mal à être pris dans une ambiance où toute discussion semble absente, ou toute rationalité semble avoir disparu. Les rôles sont distribués. Les "ténors" présentent leurs résultats. Il y a les questions qu'il ne faut pas poser. On sent toute une connivence. Les jeux sont faits, les rôles distribués dans une farce où les empêcheurs de chercher en rond n'ont pas leur place.

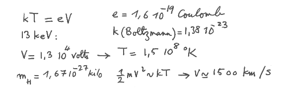
Pendant ces cinq jours, je n'ai connu qu'une suite ininterrompue de bides. Citons-en un autre. Dans ce vieux numéro de Ciel et Espace je retrouve ce qui fut aussi un des thèmes de ce colloque : le résultat des mesures effectuées dans la gamme des X. Les amas de galaxies se sont ainsi affirmés comme de puissantes sources X. Huit à quinze keV. Cela fait entre cent et cent quatre vingt millions de degrés. Il y aurait donc dans ces amas du gaz porté à une telle température. Tout le monde opinait du bonnet en rappelant qu'il s'agissait là d'un des mystère du cosmos. Je suis encore invernevu :

  • Voyons. En faisant le calcul ci-après :

cela donne, pour des atomes d'hydrogène, une vitesse moyenne de 1500 km/s. Finalement, n'est-ce pas normal et raisonnable? Cette vitesse se trouve être voisine des vitesses de libération des galaxies. Si les atomes avaient cheminé à des alllures plus faibles, ces galaxies les auraient capturées. Il y a plus de vingt cinq ans quand on avait émis l'idée que du gaz aussi chaud puisse se trouver entre les galaxies j'avais fait un calcul, pas très très compliqué, sur le temps de libre parcours moyen de ces atomes, étant donnée l'estimation qu'on pouvait faire de la densité. On trouvait que ce milieu était très peu collisionnel et c'est la raison pour laquelle cette température s'est maintenue. Sinon les collision entre atomes auraient entrainé le refroidissement radiatif de cette masse gazeuse et son absorption par les galaxies. A ce stade, la question intéressante concerne l'origine d'une masse de gaz aussi chaud. Quel phénomène a bien pu l'échauffer à ce point ? Je suggère que cette masse de gaz chaud a été créée en même temps que les étoiles primitives. Nous savons finalement bien peu de choses sur les phénomènes qui accompagnent la naissance des étoiles, essentiellement parce que ces naissances se font dans l'intimité de masses gazeuses qui dérobent ces phénomènes à nos yeux. Tout au plus savons nous que des étoiles type T-Tauri peuvent connaître des naissances très convulsives. Tout le monde se demande alors : "pourquoi une telle agitation ?". Je vous répondrai que des astres à température superficielle modeste comme notre soleil se débrouillent quand même pour créer dans leur environnement une couronne beaucoup plus chaude, à des millions de degrés.

J'ai alors essayé desquisser en quelques phrases le processus de chauffage MHD de la couronne solaire . Et d'ajouter :

  • Personnellement j'inclinerai à penser que la naissance des étoiles primitives des étoiles qui, maintenant, sont de venues de vieilles étoiles, a pu s'accompagner de violents phénomènes de chauffage MHD, au point que les atomes de ce gaz, ayant acquis une température supérieure à la vitesse de libération de la galaxie à laquelle ils appartenaient l'auraient quittée sans espoir de retour.

Il ne s'agit que de bêtes calculs de théorie cinétique des gaz. Mais si je m'étais exprimé en martien, je n'aurai pas connue d'insuccès différent que celui qui acueillit mes paroles. Imaginez la scène : un sexagénère (votre serviteur) prend la parole. Silence total dans la salle. On attend simplement patiemment que cet emmerdeur se rasseye. Pourtant l'idée, en soi, est intéressante. On peut imaginer que lorsqu'une galaxie se forme, cette naissance puisse s'accompagner de nombreux allumages d'étoiles et d'un fort dégagement d'énergie. Ce système ressemble alors à un "four". Une galaxie massive aurait plus de chances de chauffer le gaz résiduel au point de le faire s'évader, de créer des vitesses d'agitation thermique supérieures aux vitesses de libération. Je pense aux galaxies massives et pauvres en gaz que sont les elliptiques. A l'inverse des galaxies de taille plus modeste auraient pu tenir leur gaz à distance, sans toute fois communiquer aux atomes d'hydrogène assez de vitesse pour que celui-ci ne s'évade. On peut aussi penser que les elliptiques sont des galaxies qui ont connu des collisions, on fusionné, et que lors de ces processus le gaz résiduel a été échauffé au point de s'en évader. Cette idée tient aussi et tout cela peut se discuter. C'est la raison pour laquelle je ne comprens pas pourquoi on considère la présence de ce gaz d'hydrogène à cent et quelques millions de degrés entre les galaxies comme un mystère complet. Mais l'époque est peut être friande de mystère, qui sait ?

Au cours de ce colloque une jeune Américaine vint présenter le résultat de ses simulations effectuées sur ordinateur pour simuler la naissance des galaxies. Elle obtenait donc des grumeaux, en partant de matière sombre froide qui, comme tout le monde le sait, est à 90 ou 95 % le constituant principal de la soupe cosmique. Mais cette petite dame était consternée : ses galaxies ne tournaient pas.

  • Nous voilà avec un nouveau problème sur les bras, s'exclama avec emphase Alain Blanchard, chef de file des "Nouveaux Cosmologistes" Français.

J'ai demandé à l'Américaine si elle avait tenu compte de l'expansion. Non.... me répondit-elle très gênée. D'ailleurs.... la personne qui faisait partie de son équipe et qui s'occupait de cosmologie n'était pas là. Dame, l'expansion, c'est de la cosmologie....

Certes, mais aux époques où on envisage que les galaxies aient pu se former, le cosmos était encore assez ramassé sur lui-même. Si on compare disons 100 millions d'années avec quinze milliards d'années et qu'on retienne ne serait-ce qu'une loi où les distances varient en t2/3 cela nous amène à penser que ces proto-galaxies, au moment de leur naissance, devaient être 130 fois plus proches qu'elles ne se sont actuellement (ce qui mettrait notre voie lactée et Andromède "joue contre "joue"). En d'autres termes elles devaient être quasiment au contact. J'en déduis que ces proto-galaxies, à cette époque, devaient constituer un milieu collisionnel, et que l'expansion a fait chuter leur "fréquence de collision". Aujourd'hui le "temps de libre parcours moyen" d'une galaxie dans un amas et de l'ordre de l'âge de l'univers lui-même. Ce phénomène est devenu peu fréquent, mais on observe quand même nombre de systèmes de deux galaxies en interaction. Les proto-amas, je pense, devaient se comporter comme des éléments gazeux collisonnels et donc tendre vers l'état d'équilibre thermodynamique, selon lequel les différentes énergies tendent à s'égaliser (translation, rotation). Mais, l'expansion ruinant cet effort, le milieu serait alors resté "hors d'équilibre". Quand j'ai voulu lancer la discussion sur ce terrain-là, nouveau bide, nouveau silence.

J'ai lu dans un Ciel et Espace plus récent "que le petit nombre d'étoiles de très faibles masses dans les amas était un mystère". Il me semble, pourtant, que ceci semble relever également de principes simples issus de la théorie cinétique des gaz et de la ... thermodynamique. Dans un mélange gazeux où coexistent deux espèces de masses dissemblables les énergies cinétique individuelles moyennes tendent à s'égaliser. Par exemple, un plasma d'ydrogène à une température T (assez élevée pour que l'état d'ionisation se maintienne) les électrons sont en moyenne 43 fois plus rapides que les protons. Ce chiffre correspond à la racine carrée du rapport des masses.

Raisonnant autrement, on peut aussi parler en termes d'effet de fronde, en disant que les étoiles de fortes masses accélèrent les plus légères et les éjectent hors de l'amas les première. Mais, franchement, avez-vous vu ou entendu formuler un raisonnement quelconque, quelque part, en astrophysique, de nos jours ? Un observateur est quelqu'un qui a accès à un gros instrument. Un "théoricien" est quelqu'un qui a accès à un gros ordinateur. Pas besoin de matière grise :

Ma bécane, de tout, se charge . . .

Nous avons à l'observatoire de Marseille une équipe de gens qui montent leurs ordinateurs en pression tous les matins, depuis 20 à 25 ans. Au coeur de cette forge, le couple Bosma (d'origine hollandaise) et Athanassoula (d'origine grecque).

**Albert Bosma, astrophysicien. Laboratoire d'Astrophysique de Marseille **

Ce qu'ils font a toujours été pour moi un mystère. Pendant 25 ans Athanassoula a essayé de fabriquer des galaxies dont les structures spirales ne tenaient pas plus d'un tour. Aujourd'hui elle s'est repliée sur les amas de galaxies, "dont elle tente de percer les secrets". Son conjoint, Bosma, saupoudre les galaxies de matière sombre, en quantité ad hoc, en les dotant de ce que ces gens appellent un "halo", jusqu'à ce que tout cela redonne les courbes de rotation. Tout cela semble ennuyeux à périr.

Wozniak était un élève d'Athanassoula. Mais il paraît qu'il a fait sécession il y a quelques années. Celui-là maintenant simule en refroidissant empiriquement ses galaxies, ici et là. Pour éviter que les processus dissipatifs n'accélèrent par trop ses étoiles, il les ralentit, par petites touches. Je l'imagine autour de sa galaxie, comme un mécanicien avec une éponge. Crac, il refroidit ici, crac, il refroidit là.

Vous savez quoi ? L'astrophysique n'existe plus. En DEA on enseigne aux étudiants à se familiariser avec le grand instrument de masturbation contemporain, la grande machine ubuesque à décerveler: l'ordinateur : le truc qui évite de penser. Equation de Vlasov, de Poisson ? Ouh là , là , ça c'est trop compliqué. Loi de Newton et basta...

Finalement, à forcer de traquer la matière sombre nos astrophysicien ne s'aperçoivent même plus qu'ils ont perdu leur matière grise.

Compteur initialisé le 12 décembre 2001. Nombre de consultations :