אי-יציבות של ג'ינס והכובד הקוסמולוגי
פרויקט אפיסטראטראון 2
האי-יציבות הכבידתית או אי-יציבות ג'ינס
6 במאי 2004
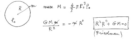
נניח כדור מלא "עפר", כלומר צפיפות קבועה של נקודות מסה נייחות. הכדור מתאפיין בקריים R. הוא מייצג מסה M. נבחן מסה m הנמצאת על פני הכדור. נרשום את חוק ניוטון. נקבל, תוך שתי שורות של חישוב, את משוואת פריידמן, אותה המשוואה של מודלי קוסמולוגיה שנקראים על שמה:

תוכלו למצוא את שלושת סוגי הפתרונות של המשוואה הדיפרנציאלית מסדר שני, שנותנים את המודלים:
-
מחזורי (R בציקלואיד)
-
היפרבולי (R מתקרב לאסימפטוטה)
-
מודל אינשטיין-ד'סיטר, ב-tq
ב-1934 הראו מילן ומאק קריאה שמשוואת היסוד של היחסות הכללית יכולה להופיע מתוך הפיזיקה הניוטונית. בשנות ה-70 עשית את אותו דבר עם הפתרון המאולס של משוואת בולצמן, מותאם למשוואת פואסון. נמשיך...
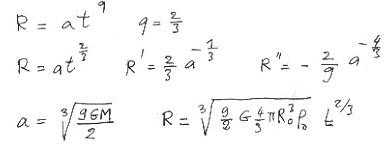
נשען על הפתרון ב-tm שבניין על ידי אינשטיין וד'סיטר:

נעשה את המשוואה חסרת ממדים על ידי הכנסה של ממד מציין שיציג פשוט את הערך ההתחלתי של הרדיוס. מופיע אז זמן מציין.

אם הפתרון של אינשטיין-ד'סיטר מתאר התפשטות איטית, מהתנאים ההתחלתיים... פורצי-הכפכפ, הוא סימטרי בהחלפת t ב- -t. אנו מקבלים שתי פרבולות סימטריות ביחס לזמן t = 0, שברור שהוא שרירותי. אם נקרא את העקומה משמאל, נקבל תיאור של הכפפת כבידתית, שמתאצת בעצמה.

למצב זה מותאם הזמן המציין שנקרא זמן ג'ינס. אנו רואים כי מסה של עפר (אוסף של חלקיקים ללא מהירות תנועה), איזו שהיא שטח 2R, תכופף ברגע* שמיושם רק על פי ערך הצפיפות*.
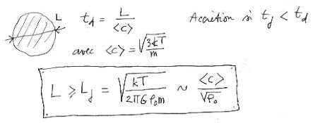
נבחן כעת את המצב ההפוך: ענן של מסות m, בגודל L, שמאופיין בתנועה תרמית. אנו מזניחים את הכוחות הכבידתיים. הענן יתפזר ברגע מציין שווה ל-L, מחולק בערך הממוצע של מהירות התנועה התרמית , שקשורה לטמפרטורה המוחלטת T (ראו תיקון קודם, על תורת הנייחות של גזים). נקרא לזמן זה זמן התפזרות td. בתוך כדור של גז שני התהליכים יתנגדו. אנו מגלים כי זמן התפזרות גדול מזמן המאפיין של התפוצצות או התרחבות, אם פשוט הממד של "הגרמייה" נוגעת במרחק מציין מסוים, אורך ג'ינס Lj

האורך הזה פרופורציוני למהירות התנועה התרמית ופונקציה הפוכה של השורש של הצפיפות r. כך שאם "אנו מחממים, אנו מיצבים".
-
מה מתחמם (למשל מסה של גז בין כוכבי)? תשובה: כוכבים חמים, שמשדרים אולמות אולטרה-סגול.
-
מה מקרר? איבוד רדיואטי (הגז מקרין אינפרא-אדום).
מסה של גז בין כוכבי פועלת כמו שסתום מים, ומשמשת כמצב הומיאוסטטי. אם הגז מתקרר (רדיואטית) הוא הופך לא יציב כבידתית ונותן את המוצא לכתמי כוכבים שמשדרים אולמות אולטרה-סגול, שמחממים אותו ומעלים אותו שוב. זהו מנגנון "נגד דיכאון". התהליך הכוכבי מילא את תפקידו של מנגנון נגד דיכאון ביחס לגז. הגז, בגלקסיה ספירלית, מוגבל לדיסק מישור, בעובי של כמה מאות שנות אור, מה שקטן בהרבה בהשוואה ל-100,000 שנות אור שמייצגים את הקוטר של הגלקסיה. שכבה של גז היא בגאומטריה של דיסק מיקרו-סילון. היא בעובי קבוע, פשוט בגלל שהעובי הזה מופעל על ידי אותו מנגנון נגד דיכאון, בכל מקום.
חלק מכם ניסו למודל על ידי סימולציה אי-יציבות כבידתית, ללא הצלחה. בגלל שהגז היה חם מדי, או שהנקודות המסה לא היו מסיביות מספיק. כך שהמרחק של ג'ינס היה גדול יותר מקוטר הגרמייה הראשונית; יש תהליך דומה ב-2D כשעובדים על כדור, מה שחלק מכם עשו. תוכלו להניע את עצמכם ביצירת גרסה של תורת ג'ינס ב-2D. נקבל אורך מציין שיחלף על פי מהירות התנועה התרמית 2D, על "העור" של הכדור. הצפיפות תמלא תפקיד דומה לזה שבעוד 3D, אך אודה שבערב הזה אין לי כוח להבהיר את הבעיה, שבעצם אינה חשובה, מכיוון שהיקום הוא 3D ולא 2D. אך איכותית התהליכים דומים. עלינו להתקדם על אורך ג'ינס 2D. אם הוא גדול יותר מהקוטר של מעגל גדול על הכדור, אין גרמייה. אם אורך ג'ינס קטן בהרבה מהקוטר: מלא גרמייה. כשתקבלו את תוכניות החישוב על הכדור 2D תוכלו לשחק עם זה. ד'אגוסטיני עשה תוכנית מדהימה שאריץ בתיקייה הבאה. תקבלו גם את הקובץ הרצוי וגם את הקוד המקור, כדי לערוך. זה ב-Pascal.
ההתפשטות מקררת. איסנטרופית, היא מפריעה.

רואים כי אורך ג'ינס גדל לפי שורש של R. לכן בהכרח דבר שמתפשט איסנטרופית הופך לא יציב, מתפצל. אילו לא היו פוטונים, קרינה קוסמית, היקום היה יוצר גרמייה כבר בתקופת הצעירה שלו. אך ממצא הוא שהקופling בין חומר לקרינה הפסיק את האי-יציבות הכבידתית עד שהיקום התפצל ל-100,000 שנים. אם ניקח את מהירות התנועה התרמית של מימן שקרובה ל-3000 מעלות, ואת הצפיפות שקיימת בתקופת הזמן, נקבל ערך מסוים של אורך ג'ינס, ואם נחשב את המסה שנמצאת בגרמייה, נמצא את מסת ג'ינס שבעת הרגע הייתה קרוב ל-100,000 מסות שמש. לכן מוסבר לחשוב שהרגע של הפיצול היו מסות שקולות למסות של אספנות גלובולאריות שיצרו גרמייה נפרדת.
הערה קטנה לסוף. כשאני הגעתי למרכז האסטרונומי של מרסיל, אני ברח מאבל נורא שנקרא "המכון למכניקה של נוזלים" (לשם ניסיון "מעבדת פלוטומכניקה"). המעבדה, שמציעת ליד התחנה של רכבת מרסיל, ליד התחנה של רכבת סן שארל, הורס לפני כמה שנים. המנהל שלה נפטר. שם אני הפסדתי את אי-היציבות של ויליקוב ב-1966, מה שגרם לתקופות של חום. יום אחד, יושב מול המגננה ה- MHD הרגעית בצורת מקלע גז, אמרתי לעצמי "בן אדם, אם לא תברח מכאן, תהפוך כמו האחרים". אז ב几个月 אכלתי את התרגיל בתורת הנייחות של גזים, "צ'פמן וקולדינג", בשם "התאוריה המתמטית של גזים לא אחידים", הוצאת הוצאת אוניברסיטת קיימברידג'. ספר מושלם שמלמד על הקריאה וההקדמה, שמיועד למשתמשים שירצו להתקדם בתאוריה עם חישובים באמצעות דיאדים, מטריצות דיאדיות. במהלך ההליך של תיאום, קיבלתי כמה רעיונות ולבניית תזה דוקטורית - מטוס ניצול. העבודה נראתה טוב למתמטיקאי אנדרה ליכנראוויץ, שנתקלתי בו במקרה, כששתה מינטה בקפה באקס-פראנץ. חסותו עזרה לי להימנע מהניצחון המנדאריני והליכת מכאן, אך במרץ נפלתי למשהו אחר: המעבדה לدينמיקה של מערכות ריאקטיביות. יום אחד אמרתי לעצמי "נחפש מקום שקט". ערכתי מחקר ומצאתי שמה שדומה לבית מנוחה ביותר הוא המרכז האסטרונומי של מרסיל (בתקופת הזמן). אז, במשוואת בולצמן הוספתי את הכובד, הפכתי את האלקטרונים לכוכבים, חיברתי את הכל למשוואת פואסון, ובהה מארק. שישה חודשים לאחר מכן התחלתי לשחק בפועל עם גלקסיות ודברים אחרים של קוסמוס עליון.
התחלתי למצוא משוואה מוזרה. בתקופת הזמן, כל האנשים במרכזי האסטרונומי היו מביטים ולא תיאורטיקנים. הם היו מצוינים ביצירת טלסקופים, בחריכת מראות. אך בתיאוריה, אפס. ג'י מונני היה מנהל אז (בתקופת הזמן היה חסר שער, מתחת לצליל, שגרם לו לשקול כמו персонаж מRoman של ז'ול ורן). שלחו אותי לשקול אדם ידוע במדע, בשם הנון (לא מין מופלא). הוא הביט בדפי שלי וטען "זה משוואת ג'ינס". טוב... חזרתי על משוואת ג'ינס, מתוך תורת הנייחות של גזים (לא אעזור לכם בזה). אחר כך עשית את אותו דבר, תוך שיוויית המשוואה של פריידמן. במקום ללמוד אסטרונומיה וקוסמולוגיה, אני ממציא מחדש. זה טוב, למעשה. מבינים טוב יותר.
במה שכתבתי לעיל הכנסתי מספיק פרטים כדי שתוכלו להבין מה שתשמעו בפנייכם, בדמויות. במהלך הדרך נחקור את התנהגות תערובות של חומר וחומר דמוי. נדבר אז על אי-יציבותות כבידתיות משותפות. הצגתי את זה בכנס בינלאומי באסטרופיזיקה. אך אני חושב ש никто לא הבין. בכל מקרה, עכשיו, היכולות האינטלקטואליות של תיאורטיקן נמדדות ב-גיגאלופס, גיגאטרוקס וגיגאמחינים.
אני拥有 את האהובה ביותר באוניברסיטה
כל זה יסייע לנו. אך ללא מעט תיאוריה טהורה מאחור, נלך מהר בקופסה של גיגה-סומול.
מספר התייחסויות לדף זה מאז 5 במאי 2004 :