无名文件
雅努斯宇宙模型
2014年12月16日 2015年1月7日 2014年1月10日 2015年2月26日 2015年3月6日
****2015年4月24日:第四次进球
我差不多整整一年前停止了网站的更新。原因非常简单:我开始了一场为发表科学论文而奋斗的战役。
最近几天,“新思想”正在引发热议。
基本上有两点:
- 加拿大研究人员刚刚提出了一项“革命性”、“颠覆性”的想法,在国际上引起了轰动。
2014年12月13日,米歇尔·德·普拉康塔尔在Mediapart上评论道:
**
| 是否存在一个时间倒流、从未来流向过去的平行宇宙?尽管听起来很奇怪,但根据英国物理学家朱利安·巴伯及其同事蒂姆·科斯洛夫斯基和弗拉维奥·梅尔卡蒂的假设,这一设想或许可以解释时间之箭的方向。研究人员构建了一个模型,其中宇宙从大爆炸开始分裂成两个分支,每个分支的时间箭头都与另一个相反。换句话说,我们直观经验中时间必然从过去流向未来的方向,可能会发生反转。 |
|---|
我们了解到,在大爆炸时,不是诞生了一个宇宙,而是诞生了两个宇宙,而在这个第二个宇宙中,时间将倒流。
网络上的留言表明,这一想法令人们着迷。但其实它并不新鲜。最早发表相关文章的是安德烈·萨哈罗夫,时间是1967年。
A.D.Sakharov, ZhETF Pis’ma 5 : 32 ; JETP Lett. 5 : 24 ( 1967 )
A.D.Sakharov , ZhETF Pis’ma 76 : 1172 (1979) ; JETP 49 : 594 (1979)
A.D. Sakharov (1980).
宇宙的时空向量反转的宇宙模型
. ZhETF (Tr. JETP 52, 349-351) (79): 689–693
个人而言,我是在1982年才在一本全法语出版的书籍中偶然发现这项工作的,该书由Anthropos出版社出版,书名为《A.D.萨哈罗夫科学著作集》。如今这家出版社已经消失。你或许能在图书馆找到这本书。实际上,这本书是美国国会图书馆出版的英文版的翻译:
| A.D.Sakharov, Collected scientific works, Library of Congress Cataloging in publication Data. 1982. |
|---|
第二篇提出如此令人震惊思想的文章发表于1977年,如下:
J.P.Petit:
“时间本征相反的对映宇宙”
,1977年5月8日CRAS,第285卷,第1217-1221页
J.P.Petit:
“与时间镜像相互作用的宇宙”
。1977年6月6日CRAS,第284卷,A系列,第1413-1416页
我提到了两个思想。第二个思想涉及负质量的概念。这项工作最近于2014年11月14日发表在一家非常权威的期刊《物理评论D》上。以下是参考文献。
德西特时空中的负质量气泡
。Saoussen Mbarek, M. B. Paranjape。
期刊引用:Phys. Rev. D 90, 101502(R), 2014
11月14日
DOI:10.1103/PhysRevD.90.101502
报告编号:UdeM-GPP-TH-14-235
如果你尝试从期刊网站下载这些文章,它们是收费的(大约二十美元)。但存在一个预印本在线发布平台,即arXiv网站。如果你点击这个链接,你将立即访问相关文章:
http://arxiv.org/abs/1407.1457
同样,这篇文章在世界各地的许多博客中引发了大量讨论。例如:
https://www.sciencenews.org/article/negative-mass-might-not-defy-einstein
| T | 翻译:“负质量可能并不违背爱因斯坦的理论” |
|---|
9月,两篇论文分别发表在顶级期刊《天体物理学与空间科学》和《现代物理快报A》上:
J.P.Petit 和 G.D’Agostini:
负质量假说与暗能量的本质。
《天体物理学与空间科学》(2014)354:611-615,2014年9月20日 DOI 10.1007/s10509-014-2106-5 摘要:
宇宙观测到的加速现象提出了一个令人困惑的问题。是什么样的“暗能量”导致了这一现象?我们回顾了基于广义相对论反对负物质存在的论据。如果将宇宙视为一个四维流形M4,具有两个耦合度量,是耦合场方程系统的解,这些论据便不复存在。我们构建了一个非稳态解,其中正物质种类加速,而负物质种类减速。因此,暗能量被(占主导地位的)负物质作用所取代。
J.P.Petit 和 G.D’Agostini:
具有相互作用的正负质量及两种不同光速的宇宙双度量模型,与观测到的宇宙加速相一致。
《现代物理快报A》。《现代物理快报A》第29卷,第34期(2014年10月24日)1450182(15页)DOI: 10.1142/S021773231450182X 摘要:
本文提出了先前发表的双度量宇宙模型的扩展,其中正负质量种类相关的光速不同。正如之前所展示的,该模型的不对称性解释了正物质种类的加速,而负物质种类则减速。这种不对称性影响了与长度、时间和光速相关的尺度因子,因此如果能够实现航天器的质量反转,星际旅行就可能变得非不可能,以低于负物质区域光速的速度航行,可能远高于正物质区域的光速。
______________________________________________________ T 翻译:
第一篇论文:J.P.Petit 和 Gilles d'Agostini:具有正负质量相互作用的宇宙双度量模型,这两种实体分别与两种不同的光速相关。该模型与观测到的宇宙加速一致。
摘要:
宇宙加速现象的观测仍然是一个令人困扰的问题(这一发现于2011年获得了诺贝尔奖)。这种“暗能量”的本质可能是什么?我们首先回顾了基于广义相对论反对宇宙中存在负质量的论据。如果将宇宙视为一个四维流形M4,具有两个度量,是耦合场方程系统的解,这些论据就不复存在。我们构建了一个精确的非稳态解,表明正质量种类(我们)加速,而负质量种类减速。因此,暗能量效应被负质量的主导作用所取代。
______________________________________________________ 第二篇论文:J.P.Petit 和 Gilles d'Agostini:
负质量假说与暗能量的本质。
《天体物理学与空间科学》,2014年9月20日。
摘要:
这是前一篇论文的扩展,该论文涉及宇宙的双度量描述,但将正负质量种类与不同的光速相关联。如前所述,该模型解释了观测到的正质量种类的加速现象。其结果是,负质量种类减速。这种不对称性不仅影响光速限制,还影响尺度因子(距离)和时间的流逝。这暗示了一种可能的技术,即通过反转航天器的质量,使其在“这种状态下”以更高的亚光速航行,因为限制负质量粒子的光速更高。
我无法像在《物理评论D》发表的文章那样,引导读者访问arXiv的文件。直到2014年,我还能在arXiv上发布一些文章:(http://arxiv.org/abs/0712.0067,http://arxiv.org/abs/0801.1477,http://arxiv.org/abs/0803.1362,http://arxiv.org/abs/0805.1423)。由于我无法理解的原因,自2014年初以来,我无法在该网站上发布任何预印本。当我激活账户并下载PDF文件后,上传通知会在数小时内出现。但24小时后,文章并未出现,而是被“挂起”(暂停)。给出的理由是“一名或多名审稿人正在审查文档,将稍后决定是否上线”。据我所知,截至2014年12月15日,我有十七篇预印本处于“挂起”状态,最早的尝试上线已超过八个月,这个时间似乎对审稿人做出决定来说过长。需要提醒的是,arXiv网站并不对提交的文档进行科学专业审查。目前该网站已有超过70万份文档可供下载。这是一个科学交流工具,而我却因不明原因被剥夺了这一工具。向“匿名审稿人”提出的问题至今没有得到答复。原则上,arXiv是科研人员在论文被期刊接受之前发布文章的平台,从而“抢占先机”,同时公开工作内容。但如今我却处于相反的境地。
我曾在我网站上发布请求,希望得到天体物理学家(和/或宇宙学家)以及理论物理学家的“推荐”(“担保”),以便在arXiv上发表文章。但这一请求石沉大海。该请求仍然有效,应针对以下两个领域:
-
Astro-ph(天体物理学)
-
Gr-Qc(广义相对论)
退休后,我还曾请求被某个天体物理实验室或天文台“非付费合作”接纳。同样无果。这在向期刊投稿时是一大障碍,因为我的电子邮件地址只能提供:

而非实验室的邮箱。
暂且放下这些。还存在另一个允许研究人员交流的网站。那就是:
在这里,我得到了推荐。因此我的文章可以被科学界(以及非会员)访问。相关链接如下:
但你也可以更简单地通过我自己的网站下载文章的PDF文件,链接如下:
负质量假说与暗能量的本质 具有相互作用的正负质量及两种不同光速的宇宙双度量模型,与观测到的宇宙加速一致。
这些文章代表了对过去十年观测到的宇宙加速现象的唯一且一致的建模,这一发现使索尔·佩尔莫特、亚当·里斯和布莱恩·施密特在2011年获得了诺贝尔奖。
http://fr.wikipedia.org/wiki/Accélération_de_l'expansion_de_l'Univers
对于初学者,这里有一些解释。
在这一重大发现之前,宇宙模型直接源自俄罗斯人弗里德曼的工作,这些工作可以简化为一个非常简单的微分方程,给出宇宙“特征尺寸”R(t)随时间t的变化规律,从t=0开始,这个时间点被认为对应于大爆炸。
R2 R" + a2 = 0
从这个方程可以立即得出一个结论:
R" < 0
函数R(t)的二阶导数从根本上是负的。这个宇宙只能减速。上述三位研究人员基于对非常明亮天体的膨胀速度进行极其细致的研究,从而能够进行远距离测量:超新星。他们的结论可以简化为一个不等式:
R" > 0
宇宙并未减速,而是在加速!……这与弗里德曼模型(即使加入了“冷暗物质”)完全矛盾。
要理解弗里德曼模型的动力学,请参考我的漫画书《大爆炸》第65页:
[http://www.savoir-sans-frontieres.com/JPP/telechargeables/Francais/BIG%20BANG.pdf]
为了用其他方式解释宇宙的加速,而不是简单地使用“暗能量”或“第五元素”等术语,我将负质量引入了宇宙模型,这需要彻底改变范式,即使对科学家来说也相当难以理解。
首先,为什么想象宇宙中存在负质量粒子会如此棘手?这个问题在1957年由宇宙学家H.邦迪提出。我们必须清楚一点:在我们2014年9月发表文章之前,宇宙被表示为一个四维流形,具有唯一的度量,服从爱因斯坦方程:

在尝试向读者解释这个概念之前,我们直接进入邦迪的结果。当我们将正质量“注入”爱因斯坦方程时,它在所谓的“牛顿近似”中产生了一条相互作用定律。请记住:
牛顿定律包含在爱因斯坦方程中
邦迪随后尝试“注入”正质量和负质量。在他的“牛顿近似”中,该方程“回应”并提供了以下相互作用定律:
-
正质量粒子吸引……一切,即它们自己和负质量粒子。
-
负质量粒子排斥……一切,即它们自己和正质量粒子。
非常、非常麻烦。假设我们把两个质量符号相反的粒子放在一起。负质量粒子会立即排斥正质量粒子,正质量粒子会逃跑。但由于它吸引负质量粒子,负质量粒子会立即追上去,这对组合陷入了一种匀加速运动。这种现象被称为“逃逸”。这种匀加速运动的能量从何而来?从无处而来。动能1/2 m V2是守恒的,因为其中一个质量是……负的。

难以接受……
邦迪的分析导致了长达五十七年禁止使用负质量。虽然我有1994年和1995年的文章(在New Cimento和天体物理学与空间科学上发表),但这些文章完全无人问津,没有回响,没有被“引用”。
让我们暂时放下这些思想的优先权问题(包括两个宇宙分支时间箭头反平行的想法),并考虑2014年9月的这些文章。如何将负质量引入宇宙模型?
在爱因斯坦模型中,这是完全不可能的。在《物理评论D》发表的文章中,作者……试图用一只脚穿一只鞋。他们的雄心仍然有限,仅限于尝试描述宇宙在非常原始阶段的配置,如COBE卫星揭示的那样,仅涉及千分之一的波动。大家都知道下面这张图,它展示了宇宙在最原始阶段的“面容”。

原始宇宙,对比度放大了一万倍
这张图具有误导性,显示了大量不均匀性。实际上,这些不均匀性是通过“假彩色”将对比度放大一万倍得到的。事实上,原始宇宙在千分之一的范围内极其均匀,更真实的肖像应该是:

原始宇宙,没有这种人为的密度对比度增强。
11月发表在《物理评论D》上的这篇文章试图通过设想在这一原始宇宙中,正质量物质和负质量物质以聚集物、气泡(“bubbles”)的形式共存,来解释这些微弱的不均匀性,其相对值非常小,因为总体上宇宙的质量仍然是正的。
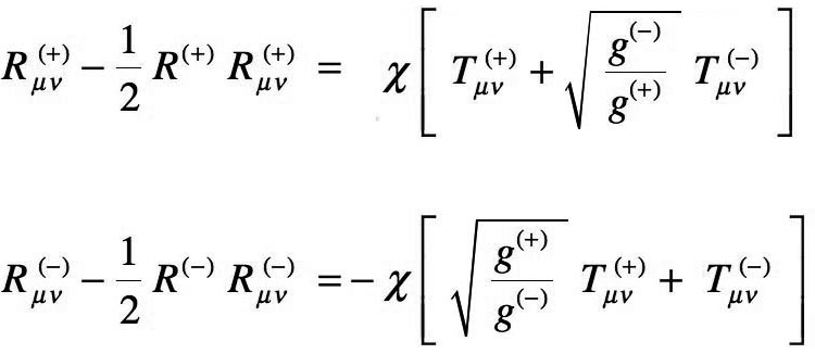
回到在宇宙模型中引入负质量粒子(以及负能量 E = - m c 2)的方法。我们必须设想宇宙不遵循单一的场方程——爱因斯坦方程,而是遵循两个相同类型的耦合方程:

皮蒂的方程
如果我正确,我认为我正确,那么今后在“物质主导”阶段(以及天体物理学)中,我们必须基于这两个方程,而不是爱因斯坦方程,后者只是其近似形式。
正是这种两个场方程的组合在本页开头提到的两篇论文中有所展示。当我们将正负质量系统引入这一方程组时,牛顿近似产生了完全不同的相互作用定律:

一种完全不同的相互作用图示。
“逃逸”现象消失了。
一种不同的牛顿型相互作用图示,意味着一种不同的天体物理学,我已辛苦地发展了十九年。顺便提一下,对于专业人士,这个场方程系统源于拉格朗日推导,目前正在发表中。
因此,正质量和负质量相互排斥。因此,在太阳系附近,正质量占主导地位,负质量的量可以忽略不计。而这两种物质的分布由这两个张量管理:

它们出现在两个方程组的右侧。在太阳系附近,第二个张量几乎为零。皮蒂方程组简化为:
. 
在太阳系附近:上方方程变为爱因斯坦方程
(带有零的宇宙常数)
因此,该模型与广义相对论的所有经典验证相符。
为什么要提出一个由两个方程组成的系统,取代爱因斯坦方程?因为它能够解释这种宇宙加速现象,而爱因斯坦方程无法做到这一点。这一现象远非微不足道。宇宙正在全力加速。为了解释这一现象,我们必须引入一个新成分:70%的暗能量。一种完全神秘的成分。
我提醒大家,根据当前的“标准”观点,宇宙的假设组成如下:

当前对“宇宙汤”的组成估计
至于“暗物质”,贡献了26.8%?它的本质仍然是一个谜。我们正处于“黑暗科学”领域。在矿井深处,研究人员正在搜寻“天体粒子”,这些粒子被认为是暗物质的组成部分,现在我们承认它们是不可见的。其中最受追捧的候选者之一是中性子。
我认为这些假设成分——暗物质和暗能量——可以被负质量有效替代,它能完美地完成这两个功能。它不仅解释了宇宙加速,还通过“反引力透镜效应”(在我1995年发表于《天体物理学与空间科学》的文章中描述)产生了可见物质无法解释的强烈引力透镜效应,无论是在星系还是星系团中。
我认为这些天体粒子……并不存在,那些在矿井中搜寻它们的人是在浪费时间和金钱,就像过去那些努力在我们邻近的银河系——大麦哲伦云中发现“MACHOS”(小型暗星)的人一样。
因此,宇宙的动力学由其负质量含量主导。产生负压,正是它引发了我们正质量宇宙分支的加速。也正是这种几何上不可见的负物质,负责了宇宙的大尺度结构,呈空洞状(参见我1995年的文章)。它确保了星系和星系团的束缚。星系与其负质量环境(即“孪生物质”)之间的“动态摩擦”产生了稳定的螺旋结构,可持续数十圈。
![](/legacy/science/JANUS_COSMOLOGICAL