Definicje stylów
Gabriel Chardin, Luc Blanchet i Philippe Pajot: bardzo specyficzne pojęcie uczciwości naukowej.
4 kwietnia 2017 r.
Oto okładka numeru kwietniowego czasopisma "La Recherche":

Zwrot z dźwiękiem, który wskazuje na wypowiedzi Gabriela Chardina, dyrektora generalnego CNRS

i Luc Blancheta, dyrektora badawczego w Instytucie Astronomii Przestrzennej w Paryżu.

zapytany przez dziennikarza "La Recherche", młodego matematyka:

w artykule o tytule:
Jeśli, jak mówili Lakoniści.
Philippe Pajot poświęca cztery pełne strony wypowiedzi tych dwóch badaczy, których próbowałem wyciągnąć, podobnie jak ten dziennikarz: moje e-maile zostały bez odpowiedzi. Tak samo niepowodzenie w prezentacji mojego modelu kosmologicznego Janus w seminarium w Instytucie Astronomii Przestrzennej w Paryżu, mimo że te prace zostały odpowiednio opublikowane w dwóch wysokiej klasy czasopismach, kontrolowanych przez recenzentów, Astrophysics and Space Science i [Modern Physics Letters A](/legacy/find/hep-th/1/au_+Steer_D/0/1/0/all/0/Papier MPLA s021773231450182x.pdf)
Istnieje korona do włożenia, dla tego, kto otworzy nową ścieżkę badań fundamentalnych, dotyczącą tej wielkiej brakującej części kosmologii: antimaterii pierwotnej. Jeśli antimateria, którą Chardin i jego zespół będą testować w laboratorium, wystarczająco spowolniona, by być wrażliwa na pole grawitacyjne ziemskie, spada w dół, to jest zapewniony nagroda Nobla, to pewne. Wiele laboratoriów jest w tej chwili zaangażowanych w tę rywalizację (manips Gbar, AEGIS, Alpha-g).
Podstawa teoretyczna jest dostarczana przez Luc Blancheta. Jego artykuł, omówiony poniżej, jest, dla kogo potrafi widzieć, kompletnym chaosem, pełnym rozważań w warunkowym. Badania teoretyczne dzisiaj polegają na napisaniu Lagrangianu, który ma być wyposażony we wszystkie zalety. Ta metoda ma wygląd egzorcyzmu. Lagrangian Blancheta wskazuje na trzy rodzaje materii. Materia baryonowa, plus dwie materie ciemne (...). Wszystko to jest "połączone" przez tajemniczy "pole grawitowektory", który sugerowałby istnienie cząstki nośnej tej siły, "grawifoton". Wydaje się, że przed rozprawą Toricelliego, ktoś wytłumaczyłby podnoszenie rtęci w barometrze za pomocą pola "baryowektora", tłumacząc "strach przed pustką" i sugerując działanie cząstki, "barometron".
Aby to zrobić, Blanchet musi przyjąć podejście wprowadzone w 1939 roku przez Fierz i Pauliego, które zakłada, że grawiton ma masę (mimo że nie mamy żadnego modelu grawitonu). Jednak w 1998 roku Boulware i Deser zauważyli, że takie podejście prowadzi do niestabilności obliczeń, które nazwali w 1972 roku, 45 lat temu (...), "fantomami" ("ghost" w języku angielskim). Blanchet więc nadzieję, że jego nieformalne szperanie będzie "bez fantomów". W rzeczywistości w tym bałaganie nie ma niczego, tylko słowa połączone w szeregu, kończące się wynalazkiem dwóch innych słów: "grawitowektory" i "grawifoton".
Strony 74-75, oto co Blanchet nam mówi:

Zwróć uwagę na kluczową frazę:
*- Or il se trouve que dans une formulation (laquelle ?) de cette théorie, tout se passe comme si s'il y avait deux manières différentes de mesurer les distances-deux espaces-temps et deux "métriques". Dans chaque espace-temps, on peut avoir des particules, et comme les deux métriques se comportent différemment (avec un terme de couplage unique entre les deux), les particules de l'un des espaces-temps peuvent apparaître comme ayant une masse négative lorsqu'elles sont mesurées par rapport à l'autre espace-temps. On a donc un effet d'antigravité (2). *
Jak Blanchet potrafi wyprowadzić te zdania, które opisują, słowo w słowo, główne cechy mojego modelu Janus, z odniesień podanych, w oparciu o te twierdzenia (w tym jego własne artykuły):
(1)[A. Benoit-Lévy i G.Chardin, A & A , 537, A78, 2012](/legacy/find/hep-th/1/au_+Steer_D/0/1/0/all/0/Dirac-Milne Universe 2012.pdf)
(2) [C. de Rham i in. Phys Rev. Lett. 106, 231,101, 2011](/legacy/find/hep-th/1/au_+Steer_D/0/1/0/all/0/de Rham.pdf)
(3) [L.Blanchet i L.Heisenberg Cosmo. Astro. 12,26,2015](/legacy/find/hep-th/1/au_+Steer_D/0/1/0/all/0/Blanchet Dark Gravity.pdf)
(4)[R.H.Price, Am. Jr. Phys, 61, 216,1993](/legacy/find/hep-th/1/au_+Steer_D/0/1/0/all/0/AJP000216 Price Negative mass.pdf)
-
Pierwsza referencja to artykuł De Benoit Lévy i Gabriela Chardina, prezentujący ten "kosmologiczny model Diraca-Milne"
-
Druga to artykuł naukowcy Claudia de Rham, obecnie w Imperial College, Londyn - Trzeci to artykuł Luc Blancheta i L. Heinsenberga

- Czwarty to artykuł R.H.Price.
Przejrzałem te cztery dokumenty dokładnie (patrz niżej). Wniosek jest taki, że w żadnym z nich nie ma możliwości nawiązania związku z zdaniem artykułu, które są niczym innym jak próba nieudolnego przypisania pracy innej osoby i wyrażają bardzo specyficzne pojęcie uczciwości naukowej przez trójkę Chardin - Blanchet - Pajot.
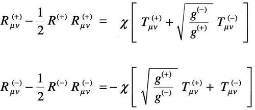
Mój kosmologiczny model Janus jest oczywiście znacznie bardziej rozwinięty i skomplikowany niż te niejasne szperania. Opiera się na dwóch sprzężonych równaniach pola, pierwsze z nich identyfikuje się z równaniem Einsteina w pobliżu układu słonecznego. Najtrudniejsze jest przepchnięcie takiego zmiany paradygmatu. To rzut kamienia w odległość kosmiczną
Wszystko sprowadza się w rzeczywistości do ... "równań Jean-Pierre Petit".

Nikt nie ... idzie tak daleko. Jeśli mam rację, będzie trudno to przepchnąć. Mimo że ta teoria została opublikowana w kilku czasopismach wysokiej klasy, kontrolowanych przez recenzentów (Astrophysics and Space Science i Modern Physics Letters A w 2014-2015), żaden z czasopism popularnonaukowych nie zajął się tym pracą, mimo że z tych równań wynika rozwiązanie wszystkich problemów kosmologii i astrofizyki współczesnej, takich jak na przykład zjawisko przyspieszenia rozszerzania, w formie "rozwiązania dokładnego", wolnego od składników, synonimów dla licznych parametrów swobodnych: sześć w modelu głównym Lambda CDM, z kosmologiczną stałą i ciemną materią zimną (wygląda jak przepis kucharski). Nie ma potrzeby ciemnej materii i ciemnej energii.
Dwa artykuły w kwestii:
**- J.P.Petit & G.D'AGOSTINI : Negative mass hypothesis in cosmology and the nature of dark energy. Astrophysics and Space Science, A9, 145-182 (2014)**art% z3A10.1007%2Fs10509-014-2106-5.pdf
- [J.P. PETIT & G.D'Agostini : Cosmologic bimetric model with interacting positive and negative masses and two different speeds of light, in agreement with the observed acceleration of the universe. Modern Physics Letters A Vol. 29, n° 34, 2014 nov 10th:](/legacy/find/hep-th/1/au_+Steer_D/0/1/0/all/0/Papier MPLA s021773231450182x.pdf)
Te niewidoczne składniki wszechświata stają się kopią tych, które znamy, z ujemną masą i energią.
Ten schemat również daje odpowiedź na brak obserwacji antimaterii pierwotnej i uzupełnia schemat zaproponowany przez Andre Salharova w 1967 roku: cząstki o ujemnej masie emitują fotony o ujemnej energii, które nasze oczy i teleskopy nie mogą zarejestrować.
.
Ponieważ seminarium naukowe, w którym mógłbym przedstawić i obronić ten model, są mi zamknięte, a żadne czasopismo popularnonaukowe ani emisja telewizyjna nie podjąłaby moich prac (po długich rozmowach kierownictwo Palais de la Découverte w Paryżu właśnie dziś odmówiło publikacji artykułu mówiącego o mojej pracy), stąd zdecydowałem się stworzyć tę serię filmów "Janus", aby uciec od tego nieakceptowalnego ostracyzmu. Prawdziwa przyczyna takiego odrzucenia: kosmotrouille.
Zamiast zadawać pytanie "jak model Janus integruje się w schemacie ogólnej teorii względności?" staje się konieczne odwrócenie pytania i powiedzenie "jak model ogólnej teorii względności integruje się w tym nowym schemacie Janus?" Reklamacja, która jest bardzo trudna do przepchnięcia.
Jest faktem, na które inni nadal tracą, to niemożliwość wprowadzenia mas ujemnych w ogólną teorię względności, odkrytą i podkreślonej przez Hermanna Bondiego w 1957 roku. W rzeczywistości, każda próba, w ramach modelu Einsteina, kończy się niemożliwymi zasadami interakcji:
- Dodatnie masy przyciągają wszystko - Ujemne masy odpychają wszystko
To prowadzi do paradoksu RUNAWAY. Jeśli umieścimy dwie cząstki o przeciwnych znakach mas, dodatnia masa ucieka, poruszając się jednostajnie przyspieszonym ruchem, zanim zostanie zatrzymana przez masę ujemną. A energia kinetyczna całego układu pozostaje .... zerowa, ponieważ 1/2 m V2 masy ujemnej jest ... ujemna!

Model Janus oferuje rozwiązanie, kosztem znaczącej zmiany paradygmatu: przejścia do dwóch sprzężonych równań pola. Oznacza to, że przestrzeń-czas posiada ... jedną stronę i odwrotną. Wtedy prawa interakcji, wyprowadzone przez tzw. "przybliżenie Newtona", stają się:
- Masy o tym samym znaku przyciągają się według prawa Newtona - Masy o przeciwnych znakach odpychają się według "anty-Newtona"
W artykułach Chardina i Blancheta nie znajdziesz żadnych nieformalnych akrobatyk z wprowadzeniem masowych grawitonów, nowego pola siły, "grawitowektora", nowej cząstki, "grawifotonu", czy nawet zrzeczenia się zasady równoważności.
W żadnym miejscu naukowiec nie będzie mógł znaleźć w cytyrach artykułów, by uzasadnić zdania:
*... wszystko wygląda tak, jakby istniały dwie różne metody pomiaru odległości - dwa przestrzenie-czas lub dwie "metryki". W każdej przestrzeni-czas można mieć cząstki, a ponieważ obie metryki zachowują się inaczej (z jednym wyrazem sprzężenia między nimi), cząstki w jednej z przestrzeni-czas mogą wydawać się mieć ujemną masę, gdy są mierzone względem innej przestrzeni-czas. Dlatego mamy efekt antygrawitacji. *
Z jakiego by kąta nie przyjrzałeś się tym zdaniom, nie odnoszą się one do niczego innego niż mój model Janus. "Ich bimetryka" nie ma nic wspólnego z moją.
O tym dodatkowym polu siły Blanchet pisze, strona 47:
*- Jednym z powodów do eksperymentów CERN na spadku antimaterii jest testowanie obecności dodatkowego pola (nazywanego "grawitowektorem" i którego nośnikiem jest "grawifoton"), który dodaje się do pola ogólnej teorii względności. To dodatkowe pole stworzy różnicę między ruchem cząstek i antycząstek, które można potem wykryć. Dlatego, w interpretacji eksperymentów, podejście ortodoksyjne polega na stwierdzeniu, że ogólna teoria względności jest poprawna, ale że mamy dodatkowe pola. *
To pełna akcja "pudry perlimpinpin", której kluczową cząstką jest "perlimpinpino".
To, co się dzieje, to dozwolone działania w grze nauki. Ale to nie normalne, to odmawianie słuchania tym, którzy mają inne teorie. Jak Chardin, Blanchet i długie szeregi innych "ekspertów", Damour od ponad dziesięciu lat odmawia mi dostępu do seminarium Instytutu Wyższych Studiów Naukowych Bures-sur-Yvette, którego jest strażnikiem.

Jego jedyna odpowiedź: *- Twoje prace mnie nie interesują. *
Od sześciu miesięcy kontaktowałem się z wszystkimi "postaciami" dziedziny (18 naukowców) i wszystkimi zainteresowanymi laboratoriami (piętnaście).
Nie otrzymałem żadnej negatywnej odpowiedzi: te osoby po prostu nie odpowiedziały. Do tego należy dodać milczenie, brak odpowiedzi dziennikarzy naukowych, ostatnim był Philippe Pajot. Stąd zacząłem, od dziesięciu tygodni, prezentować moje prace, tym razem publicznie, w serii filmów, które mają dużą audiencję. Obecnie jest to wersja "dla ogółu". Następnie stworzę "wersje bis" poziomu matematyki wyższej, które będą skierowane do dziesiątek tysięcy studentów i inżynierów, a także stworzę wersje dublowane w języku angielskim, rosyjskim i chińskim.
Wkrótce zainstaluję dwunasty film z serii, w którym w końcu przedstawię podstawy mojego modelu Janus, po długim "przygotowaniu artylerii". W ostatnim filmie przedstawię implikacje dotyczące problemu podróży międzygwiezdnych. Ludzie będą wiedzieli wszystko o tym podejściu z czterech dekad, które w rzeczywistości jest jego punktem kluczowym, z oczywistym związkiem z najbardziej zakazanym tematem: sprawą UFO.
Powracając do artykułu "Recherche" i projektu Gabriela Chardina i Luc Blancheta, powiem, że
**Ich antimateria z laboratorium upadnie głupio w dół, jak jej siostra materia. **
**Przewiduję to i się z tym zgadzam. **
Przyroda jest obojętna na efekty reklam. To ona zdecyduje.
Do jakiego stopnia można myśleć zbyt daleko?
Co się stanie później, nie wiem. Zauważ jednak zdanie z artykułu.
... wszystko wygląda tak, jakby istniały dwie metody pomiaru odległości ...
Miedzy dwiema gwiazdami istnieją rzeczywiście dwie możliwe odległości, w zależności od tego, czy pojazd, który je pokonuje, składa się z masy dodatniej czy ujemnej. Ostatnio udało mi się obliczyć tę różnicę odległości między dwiema gwiazdami, w zależności od tego, czy poruszamy się po "przodzie" lub "tylniej stronie" hiperpowierzchni. Przechodząc przez tylną stronę wszechświata, po tym, jak statek odwrócił swoją masę, odległość staje się stukrotnie krótsza, a w tym układzie odniesienia prędkość światła jest dziesięciokrotnie większa. Statkowi nie potrzeba "silnika". Odwracając masę, ograniczenie zasady zachowania energii sprawia, że statek zdobywa "inną materię" (dla obserwatora złożonego z masy dodatniej wydaje się "rozproszyć"). W rzeczywistości, podróż w "sektorze ujemnym" może się odbywać tylko z prędkością relatywistyczną, aby znaleźć się "w znanych terenach" z otoczeniem atomów (dostosowanie "długości Comptona" dzięki skróceniu Lorentza). Z takim stosunkiem odległości, odwrócenie masy prowadzi do ponownego zmaterializowania się w sektorze ujemnym prawie z prędkością światła w tym sektorze, czyli 3 miliony kilometrów na sekundę. Dlatego, jeśli w świecie mas dodatnich trzeba wydać ogromną energię, by uzyskać prędkość relatywistyczną, gdy statek przekracza ten świat mas ujemnych, zatrzymanie byłoby zbyt kosztowne pod względem energii. Myśl, które już rozwijałem i opublikowałem w wysokiej klasie czasopiśmie w 2015 roku ([w Modern Physics Letters A](/legacy/find/hep-th/1/au_+Steer_D/0/1/0/all/0/Papier MPLA s021773231450182x.pdf)).
Aby się zatrzymać, wystarczy odwrócić masę po raz drugi. Przejdź przez muszkatę. Pojęcia przyspieszenia i zwalniania nie są już operacyjne. Pojawiamy się w świecie mas dodatnich, "zmaterializujemy się", otrzymując parametry kinetyczne, z którymi statek był wyposażony na początku. Czas podróży, aby dotrzeć do planety oddalonej o 15 lat świetlnych: trzy małe miesiące.
Nawet w rękach ludzi, którzy odmawiają wszelkiej implicacji swojej działalności, pomysł rośnie. "Bariera światła" jest na punkcie upadku, w tym samym czasie, gdy zbliżamy się do odkrycia, bliskiego, substancji takich jak metan, tlen w stanie wolnym na powierzchni planet niesamowicie bliskich Ziemi.
Teraz rozumiesz, dlaczego postawa naszych epistemologicznych Tartuffów:
-
- Ukryj ten model Janus, którego nie mogę zobaczyć ...* ---
Odnośnik (1) "****[Wprowadzenie do kosmologicznego modelu Diraca-Milne](/legacy/find/hep-th/1/au_+Steer_D/0/1/0/all/0/Dirac-Milne Universe 2012.pdf)" A. Benoit-Lévy & G.Chardin:
Model jest ponownie zaproponowany przez Milne w 1933 roku, który polega na nadaniu drugiej strony równania Einsteina wartość zero. Ponieważ ten model opisuje działanie zawartości energii-materii wszechświata, ta technika polega na założeniu, że istnieją dwa zawartości, jedna odpowiadająca energii-materii dodatniej, a druga energii-materii ujemnej, a te dwa się anulują.
Następnie autorzy podają listę założeń, a mianowicie:
1 - Istnienie mechanizmu, który umożliwił rozdzielanie materii i antimaterii. Struktura wszechświata zaproponowana jest w formie emulsji, w której obie jednostki zajmują oddzielne obszary "wielkości całego znanej wszechświata".
2 - Zakłada się, że istnieje siła odpychania między materią a antimaterią. Dwie referencje są cytowane. Jednak w tym procesie rozdzielania anihilacja na granicy oddzielającej te dwa obszary prowadziłaby do emisji promieni gamma, nieobserwowanych, co przeczy obserwacjom.
3 - Jednak jednym z zalet modelu Milne jest to, że produkuje alternatywną teorię do inflacji, by uzasadnić znakomite jednorodność wszechświata pierwotnego. Autorzy zakładają, że przyczynek promieniowania do "tensora naprężenia" byłby zaniedbywalny w każdej epoce
Różne aspekty modelu Milne są następnie ponownie omówione. Temperatura zmienia się odwrotnie do czasu. Obliczenia dotyczą zjawisk mikrofizycznych wynikających z tego modelu (nukleosynteza, syntezę helu).
W sekcji 5 autorzy zgadzają się, że model nie wskazuje na przyspieszenie rozszerzania, ani na jego spowolnienie. Artykuł prezentuje analizę danych supernowych, poprzez model Milne, kończąc na wniosku, że te dwa modele (model Einsteina Sitter, plus CDM, plus stała kosmologiczna, i model Milne) prowadzą do równie prawdopodobnych wniosków, z niewielką korzyścią dla modelu Milne w przypadku bliskich supernowych. Co oznacza zaprzeczenie wynikowi Nagrody Nobla z 2011 roku.
Następna sekcja dotyczy oscylacji akustycznych w CMB.
W podsumowaniu autorzy piszą, że "jeśli model Lambda CDM jest zgodny z obserwacjami, jego podstawa teoretyczna pozostaje słaba". Nacisk jest kładziony na rozwiązanie problemu horyzontu kosmicznego. Przeprowadzono bilans analizy dotyczącej nukleosyntezy. Zauważono niezgodność z obserwacjami, dotyczącą zjawiska przyspieszenia kosmicznego, które model Milne nie obsługuje. Zauważono również, że model nie produkuje mechanizmu, który mógłby zapewnić rozdzielanie dwóch jednostek: materii i antimaterii.
Odnośnik (2) - [Artykuł Claudia de Rham](/legacy/find/hep-th/1/au_+Steer_D/0/1/0/all/0/de Rham.pdf) "Resummation of Massive Gravity" ( "Ponowna analiza kwestii grawitacji masowej" ) , opiera się na artykule założycielskim "masowej grawitacji", który odpowiada modelowi Fierz-Pauli (1939), opartemu na założeniu, że grawitony mają masę, o spinie 2. Podejście opiera się na konstrukcji Lagrangianu. Przypomina, że to podejście natychmiast wywołało niestabilność, której Boulware i Deser (1972) nadali nazwę "fantom", "ghost". Następnie działania zostały skierowane na usunięcie tej niestabilności. W 2010 roku pojawiła się pierwsza teoria, w której wybór odpowiednich współczynników pozwalałby usunąć tę niestabilność w podejściu liniowym. Artykuł z 2012 roku to rozszerzenie tej metody na nieliniową. Słowo "masa ujemna" nie pojawia się w artykule. Nie ma ani metryki, ani równania pola, ani praw interakcji.
Mimo że Gabriel Chardin mówi na dole strony 46: "Po dziesięcioleciach badań fizycy wykazali w latach 2010, że istnieje sposób rozszerzenia ogólnej teorii względności, aby nadać grawitonowi masę, biorąc pod uwagę całą nieliniową strukturę teorii. A jednak w tej teorii ... itd.
Chardin będzie musiał nam wytłumaczyć, jak można dojść, z artykułów Claudia de Rham, Blancheta lub własnych, do powiązania drugiej części jego zdań
*... wszystko wygląda tak, jakby istniały dwie różne metody pomiaru odległości - dwa przestrzenie-czas lub dwie "metryki". W każdej przestrzeni-czas można mieć cząstki, a ponieważ obie metryki zachowują się inaczej (z jednym wyrazem sprzężenia między nimi), cząstki w jednej z przestrzeni-czas mogą wydawać się mieć ujemną masę, gdy są mierzone względem innej przestrzeni-czas. Dlatego mamy efekt antygrawitacji. * ---
(3) **[Artykuł Blancheta i Heisenberga](/legacy/find/hep-th/1/au_+Steer_D/0/1/0/all/0/Blanchet Dark Gravity.pdf) : "Dark matter via (massive) bi-gravity" **:
W tym artykule z 2015 roku, dwóch autorów skupia się na teorii MOND, Milgroma, gdzie siła grawitacyjna przechodzi z prawa 1/r2, gdy pole grawitacyjne pozostaje poniżej określonej wartości, do prawa 1/r poza nią. Następnie rozważają dwa rodzaje materii ciemnej, każda z własną metryką. Te dwa "sektory" mają być połączone przez pole siły. Nacisk jest kładziony na chęć uniknięcia "fantomów" inherentnych w teoriach "masowej grawitacji" (z grawitonami posiadającymi masę). Rozważane są różne schematy.
Na koniec autorzy sugerują schemat, który może istnieć "bez fantomów", który mógłby (warunkowo!) wyjaśnić tę zmienioną grawitację, o której wspomniano wyżej, w skali galaktycznej.
Na stronie 2, dla tych autorów, "teorie bimetryczne" zostały szeroko rozwinięte, jako rozszerzenie modelu Fierz-Pauli (nic wspólnego z bimetryką modelu Janus!).
Przypominają "że pierwsze modele bigravitu były zakłócone zjawiskiem "fantomów", "rozwiązania fantomowych" i nie mogły więc stanowić wiarygodnych teorii. Jak w artykule de Rham, i wielu innych, analiza koncentruje się na konstrukcji "Lagrangianu", za cenę wielu założeń. Artykuł odnosi się do wcześniejszych prac (de Rham, Heinsenberg, 2014-2015). Wprowadzona jest "efektywna metryka".
Autorzy sugerują możliwe formy tej interakcji i wspominają "mini-superspace nowego członu kinetycznego" (?...). Wtedy pojawia się pytanie, czy ten mini-superspace będzie poddany "niestabilnościom fantomów" ( "Problemy są, że mamy zbyt wiele członów kinetycznych" (...).
Sekcja VI: "Tak więc model ciemnej materii zaproponowany w referencji (45) nie był wiarygodny". (Patrz artykuł Bernarda i Blancheta, prezentowany na ArXiv w 2014 roku). Lagrangian (31) reprezentuje propozycję "dipolowej ciemnej materii".

W tym modelu trzy gęstości materii. b dla baryonów, zwykłej materii i g i f dla dwóch rodzajów materii ciemnej. W tej formule wiele obiektów matematycznych hipotetycznych, a centrum to pole A indeksu mu. To on zapewniłby sprzężenie między tymi różnymi metrykami.
Cytuję, strona 6, wnioski artykułu:
VII Podsumowanie :
Niektóre kandydaty na relatywistyczne modele ciemnej materii w bimetrycznych rozszerzeniach ogólnej teorii względności, które, jak się nadzieje, będą dawały zmodyfikowaną dynamikę Newtona (MOND) na skalach galaktycznych, a także prowadzić do rozszerzenia na skalach kosmicznych. Obiecujące podejście pochodzi z konstrukcji "bez fantomów" z masowej grawitacji dRGT [15, 16], gdzie interakcje między dwiema metrykami są dobrane w taki sposób, że "fantomy" Boulware-Deser są (...) niewidoczne. Ponadto ważne badania możliwych spójnych sprzężeń z polami materii [52– 54] są korzystne dla nas, ponieważ aby model działał, musimy rozważyć dwie różne gatunki cząstek ciemnej materii, które oddzielnie sprzęgają się z dwiema metrykami, podczas gdy dodatkowe wewnętrzne pole wektorowe sprzęga się minimalnie z efektywną metryką zbudowaną z dwóch. Pole wektorowe łączy dwa sektory cząstek ciemnej materii i odgrywa kluczową rolę w polaryzacji grawitacyjnej i MOND [45, 46]. Dla problemu braku fantomów, kwestia dozwolonych interakcji kinetycznych jest nieodzowna. Pokazaliśmy, że kinetyczny Lagrangian zawierający trzy człony kinetyczne natychmiast prowadzi do wprowadzenia fantomów i stąd wnioskujemy, że tylko dwa człony kinetyczne są dozwolone.
W przyszłym pracy [55], szczegółowo zbadamy równania ruchu kowariantne nowego modelu, wyprowadzimy przybliżenie nierelatywistyczne i sprawdzimy, czy mechanizm polaryzacji ciemnej materii działa w taki sam sposób jak w oryginalnie zaproponowanym modelu. Zbadamy szczegółowo potencjalne ryzyko występowania interakcji fantomowych w sektorze materii i dalej ograniczymy model. Zamierzamy również sprawdzić, czy parametryzowane parametry post-newtonowskie są zbliżone do tych z GR w układzie słonecznym, oraz zbadać rozwiązania kosmologiczne w pierwszym rzędzie perturbacji.
*Tłumaczenie : Zbadaliśmy możliwe kandydaty na modele ciemnej materii relatywistycznej w ramach bimetrycznych rozszerzeń ogólnej teorii względności, które, jak się nadziejam, dadzą dynamikę newtonowską z modyfikacją (MOND) na skalach galaktycznych. Obiecujące podejście (...) to konstrukcje "bez fantomów" z masowej grawitacji (odniesienia 15 i 16), gdzie interakcje między dwiema metrykami są dobrane w taki sposób, że niestabilności fantomowe Boulware-Desera będą (...) niewidoczne. Ponadto ważne badania możliwych spójnych sprzężeń z polami materii (do zrobienia, więc) są potencjalnie korzystne, ponieważ aby model działał, musimy rozważyć dwie populacje cząstek ciemnej materii, które oddzielnie sprzęgają się z dwiema metrykami, podczas gdy dodatkowe wewnętrzne pole wektorowe sprzęga się minimalnie z efektywną metryką zbudowaną z dwóch. Pole wektorowe łączy dwa rodzaje ciemnej materii (jak?) i odgrywa kluczową rolę w polaryzacji (tej ciemnej materii w dwóch jednostkach) oraz w teorii MOND. Dla kwestii braku fantomów (problem, który został podniesiony, ale nie został rozwiązany) kwestia wybranych interakcji kinetycznych jest nieodzowna. Pokazaliśmy, że fakt, że kinetyczny Lagrangian zawiera trzy człony kinetyczne, sugeruje możliwą pojawienie się fantomów (...) i stąd wnioskujemy, że tylko dwa człony kinetyczne są dozwolone. W przyszłym badaniu [55] szczegółowo zbadamy równania ruchu kowariantne nowego modelu (...). Wyprowadzimy przybliżenie nierelatywistyczne i sprawdzimy, czy mechanizm polaryzacji ciemnej materii działa w taki sam sposób jak w oryginalnie zaproponowanym modelu. Zbadamy szczegółowo potencjalne ryzyko występowania interakcji fantomowych (...) *
W skrócie, chodzi tylko o "ścieżki" (słowo, które często słyszymy). Praca wykonana i do wykonania. Problemy są podnoszone, ale nie rozwiązane. Wszystko opiera się na tajemniczym polu, które Blanchet określa w artykule "La Recherche" jako "grawitowektora", a jego nośnikiem jest "grawifoton". Jak zwykle, tzw. nowości sprowadzają się do tworzenia ... nowych słów. Niezależnie od tego, w tym artykule, jak i w innych cytowanych, jest niemożliwe nawiązanie związku z zdaniami:
*... wszystko wygląda tak, jakby istniały dwie różne metody pomiaru odległości - dwa przestrzenie-czas lub dwie "metryki". W każdej przestrzeni-czas można mieć cząstki, a ponieważ obie metryki zachowują się inaczej (z jednym wyrazem sprzężenia między nimi), cząstki w jednej z przestrzeni-czas mogą wydawać się mieć ujemną masę, gdy są mierzone względem innej przestrzeni-czas. Dlatego mamy efekt antygrawitacji. *
które, one, odnoszą się do mojego modelu Janus.
Z jakiego by kąta nie przyjrzałeś się temu problemowi, wydaje się to wyrażać niezwykłą uczciwość intelektualną
Ale pani Przyroda rozstrzygnie. Nie będzie pola grawitowektora, ani grawifotonów i ta niezgodna praca, bez rzeczywistego treści, złożenie słów, dołączy do tych z cięci w koszu nauki.
(4) [Co mówi artykuł Price](/legacy/find/hep-th/1/au_+Steer_D/0/1/0/all/0/AJP000216 Price Negative mass.pdf) : "Masy ujemne mogą być dobrym tematem rozrywki" (...) :
"Masę ujemną może być nierealna, ale może prowadzić do ciekawych przewidywań". Następnie powtarza rozróżnienie wprowadzone przez Hermanna Bondiego w jego artykule z 1957 roku, wprowadzając pojęcia "masy grawitacyjnej aktywnej" i "masy grawitacyjnej pasywnej" (zgodnie z zasadą równoważności, są one identyczne). Następnie opisuje obraz, który według niego opisuje zachowanie mas ujemnych w polu grawitacyjnym, opisując dziecko trzymające balon za sznur i "krytykuje" "Istnieje różnica między masą ujemną a balonem, w sensie, że jeśli sznur się zerwie, balon przyspieszy w górę, podczas gdy masa ujemna spadnie w dół. Sprawy stają się różne, jeśli zastąpimy dziecko, odpowiedzialne za tę siłę ciągnącą w dół, przez cząstkę o dodatniej masie "". Grając wtedy z "tymi siłami ciągnącymi w górę" i "tymi siłami ciągnącymi w dół", Price proponuje "grawitacyjny ślizgacz", gdzie te siły mają zerową rezultat.
Ten artykuł nie zasługuje na miano artykułu naukowego. Ten problem z ujemną masą nie analizuje się za pomocą balonów i sznurków. W modelu Einsteina znajduje się równanie pola. Po liniowaniu za pomocą podwójnej aproksymacji, to znaczy traktując fragment przestrzeni-czasu słabo zakrzywionego i gdzie prędkości są małe w porównaniu do prędkości światła, równanie pola identyfikuje się z równaniem Poissona. Aproksymacja umożliwia równocześnie liniowanie równań geodezyjnych. Schemat interakcji pojawia się, który jest po prostu prawem Newtona, w postaci 1/r2. Ale gdy Milne próbuje wprowadzić mieszankę dodatnich i ujemnych mas, dochodzi do praw:
- Dodatnie masy przyciągają wszystko - Ujemne masy przyciągają wszystko
Co natychmiast powoduje niemożliwy do zaakceptowania paradoks Runaway: Jeśli wystawi się do obecności dwie masy o przeciwnych znakach, masa dodatnia ucieka, goniąć przez masę ujemną. Obydwie mają ruch jednostajnie przyspieszony. Ale energia jest zachowana (...) ponieważ 1/2 mV2 masy ujemnej jest ... ujemne.
Aby wyjść z tej sytuacji, należy rozważyć głęboką zmianę paradigmatyczną. W Ogólnej Teorii Względności wszechświat jest hipersuperficyjnym posiadającym jedną metrykę, która generuje jednojedyną układ geodezyjnych, ścieżek przebywanych przez cząstki. Matematycznie jest to czterowymiarowa rozmaitość wyposażona w metrykę Riemanna.
W modelu Janus wprowadza się dwie metryki, związane z jedną rozmaitością, stąd ta pomyłka z bimetrycznością ludzi z masowymi grawitonami. To nie ma nic wspólnego. Te dwie metryki są teraz rozwiązaniem układu równań pola podanego powyżej. Wtedy aproksymacja Newtona daje zupełnie inny schemat.
- Masy o tym samym znaku przyciągają się zgodnie z prawem Newtona - *Masy o przeciwnych znakach odpychają się zgodnie z "anty-Newtonem" ---
Nowości Przewodnik (Spis treści) Strona główna
